首页 新闻中心 技术知识
滤波器的实现方法可以分为两大类:1)利用电阻、电容、运算放大器等模拟器件搭建滤波器对模拟信号进行滤波,这种滤波器就是模拟滤波器。下图所示是一个由电阻和电容构成的无源低通滤波器:下图所示是一个由电阻、电容、运算放大器构成的有源低通滤波器:2)利用运行在数字信号处理器(DSP)、计耳机中的程序或FPGA中的逻辑对数字信号进行滤波,这种滤波器就是数字滤波器。
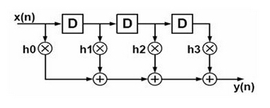
下图所示就是一种数字滤波器的工作原理框图:
2024-04-15
2023-11-27
2023-10-20
2023-08-21
微信扫描关注